반응형
🧠 1. 퍼 유닛(per-unit) 개념이란?
🔹 퍼유닛이란?
전기 시스템에서 값(전압, 전류, 임피던스 등)을 "기준값에 대한 비율"로 표현한 것입니다.
예를 들어, 기준전압이 100V일 때 실제 전압이 80V라면,
퍼유닛 전압 = 80 ÷ 100 = 0.8 pu
🔹 왜 사용하는가?
********************************************************************************************
핵심!!!
- 발전기, 변압기, 선로가 다 다른 정격을 가질 때,
하나의 공통 기준으로 계산을 단순화하기 위해 사용해요.
********************************************************************************************
- 단위(V, A, Ω) 없이 비교할 수 있으니 시스템 전체 분석이 쉬움.
🧮 2. 퍼유닛 계산 공식 정리

⚡ 3. 그런데… Vbase는 왜 상간전압(Line-to-Line) 기준이고,
Sbase는 왜 3상 기준이야?
✅ 이유 1: Vbase = 상간전압 (Line-to-Line Voltage)
3상 시스템에서 흔히 사용하는 전압은
상간전압이에요 (예: 220V, 380V, 6600V 등).
- 예: 3상 220V → 이건 선과 선 사이 전압 (상간전압)
- 우리가 흔히 쓰는 전압 정격이 대부분 상간전압 기준이기 때문에,
퍼유닛 계산의 Vbase도 그것과 맞춰서 상간 기준으로 정해요.
✅ 이유 2: Sbase = 3상 기준
- 3상 시스템에서는 전력도 전체 시스템 기준인 **3상 합산 전력(kVA)**을 사용해요.
- 따라서 Sbase는 보통 3상 전체 정격 (예: 100kVA) 로 정해요.
🟡 예시로 정리
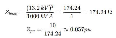
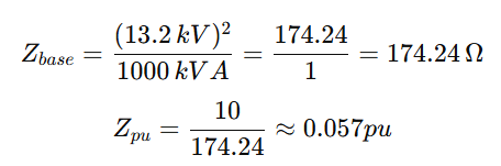
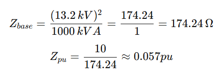
- 정격: 13.2 kV (상간전압), 1000 kVA (3상)
- 실제 전압: 12.5 kV
- 실제 선로 임피던스: 10Ω


→ 실제 임피던스는 기준값의 **약 5.7%**라는 뜻!
반응형