반응형

🔌 정상분(Positive Sequence) ·역상분(Negative Sequence) ·영상분(Zero Sequence) 임피던스(Impedence)란 무엇인가?
(지락사고를 이해하기 위한 대칭좌표 기초 정리)
전력계통에서 단락이나 지락사고를 해석할 때
**정상분(Positive Sequence), 역상분(Negative Sequence), 영상분(Zero Sequence)**이라는 말을 자주 듣게 된다.
처음 보면 어렵지만, 사실 핵심은 딱 하나다.
“복잡한 3상 사고를, 단순한 1상 회로 3개로 나눠서 계산하자”
이 방법이 바로 **대칭좌표법(Symmetrical Components)**이다.
1️⃣ 왜 이런 개념이 필요한가?
정상 상태의 3상 전압·전류는:
- 크기가 같고
- 위상이 120°씩 차이 나며
- 완벽하게 균형 잡혀 있다
하지만 사고가 나면?
- 한 상만 접지에 닿거나
- 두 상이 서로 닿거나
- 상전압이 불균형해진다
👉 이때 3상을 그대로 계산하면 너무 복잡해진다.
그래서 찰스 포르테스큐(Charles Fortescue)가 제안한 방법이 바로:
불균형 3상 = 정상분 + 역상분 + 영상분의 합
2️⃣ 정상분(Positive Sequence, Z₁)
🔹 개념
- 정상 운전 상태와 완전히 같은 회전 방향
- A → B → C 순서
- 발전기·변압기·선로가 본래 설계된 상태
🔹 회로적 의미
- 전력 전달의 주인공
- 사고 전에도 항상 존재
🔹 정상분 임피던스

대부분:
- 선로: 리액턴스 지배적
- 변압기: %임피던스
- 발전기: 서브과도/과도 리액턴스
3️⃣ 역상분(Negative Sequence, Z₂)
🔹 개념
- 정상분과 반대 방향으로 회전
- A → C → B 순서
- 불균형 사고에서만 등장
🔹 왜 위험한가?
- 회전기(발전기·전동기)에 이중 주파수 토크 발생
- 로터 과열의 원인
🔹 역상분 임피던스

👉 대부분의 계산 문제에서는
Z₂ = Z₁로 가정한다.
4️⃣ 영상분(Zero Sequence, Z₀)
🔹 개념
- 세 상이 모두 같은 위상
- A = B = C
- 접지 경로가 없으면 흐를 수 없음
🔹 핵심 포인트
- 지락사고에서만 등장
- 접지 방식에 따라 크기가 크게 달라짐
🔹 영상분 임피던스

- 중성점 접지
- 변압기 결선(Yg, Δ)
- 접지저항 여부
👉 이 모든 것이 Z₀를 결정

지락사고는 골목(Z₀)이 열려 있어야만 전류가 흐른다.
6️⃣ 1선 지락 사고(SLG)를 가정하면?
🔥 가장 중요한 사고 유형
1선 지락 사고에서는:
- 정상분
- 역상분
- 영상분
👉 이 3개가 직렬로 연결

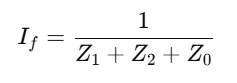
7️⃣ 지락사고 전류와 전압의 기본 수식
✔ 지락사고 전류

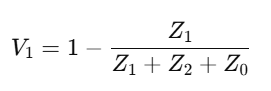
✔ 사고 중 정상분 전압

이 식이 의미하는 바는 아주 단순하다.
“전체 임피던스 중에서 Z₁이 차지하는 비율만큼 전압이 떨어진다”
8️⃣ 영상 임피던스가 크면 무슨 일이 생길까?
- Z₀ ↑ → 지락전류 ↓
- 지락전류 ↓ → 전압강하 ↓
- 결과: 정상분 전압이 거의 유지
그래서
- 비접지계통
- 저항접지계통
에서는 지락전류가 작다.
9️⃣ 시험 & 실무에서 꼭 기억할 포인트
✔ 정상분 = 실제 전력 전달
✔ 역상분 = 불균형의 지표
✔ 영상분 = 접지의 영향
✔ 지락사고 = Z₁ + Z₂ + Z₀ 직렬
✔ Z₀가 사고의 “성격”을 결정
🔑 한 줄 요약
정상·역상·영상 임피던스는 불균형 사고를 이해하기 위한 도구이며,
지락사고에서는 세 임피던스가 직렬로 연결되어 전류와 전압을 결정한다.
반응형
'전기, 소방 관련 상식' 카테고리의 다른 글
| 🔋 왜 배터리 충전기는 3상 정류기(Three-phase Rectifier) 를 많이 쓸까? (0) | 2026.01.01 |
|---|---|
| 🔌 싸이리스터(SCR)란 무엇인가? (0) | 2025.12.20 |
| ⚡ KWh(킬로와트(키로와트) 아워, 킬로와트(키로와트) 시) 단위(가전기기, 배터리 용량, 전기차, 전기자동차, 충전, 전기요금) 완전 쉽게 이해하기! (1) | 2025.12.10 |
| ⚡ 유도전동기는 왜 동기속도(Synchronous Speed) 보다 느릴까?👉 슬립(Slip)이 발생하는 이유와 동작 원리 완전 정리 (0) | 2025.12.06 |
| 🔥 소방용(스프링클러설비) 드라이(건식, Dry)밸브 압력 세팅(설정, 셋팅, Setting) 기준 완전 정리 (0) | 2025.11.30 |